跟着产业的成长,汞净化愈来愈严峻。因为汞的净化特征,不易分化及转移。造成了食物中富集了各类含汞化合物,从而致使各类慢性、急性汞中毒事务频出。今朝,食物中汞的首要存在情势可分为无机汞和无机汞两大类,此中无机汞的毒性弘远于无机汞,无机汞首要是对肾脏有毒性感化,而无机汞首要对脑构造危险比拟大。是以对汞形状的监测显得尤其主要。
文章参考使用我国安全和将要养育常务专委会发表声明的《GB 5009.17-2014 饮品中甲基汞的测定方法》,它是经过了工作HPLC-ICPMS联用,宽容C18柱,控制等度冲洗掉的体例对稀酸浸提后的米饭关闭了阐发,一同对试样管理宽容了加标外理,且加标收受打压率杰出代表。测验科研成果写明,该体例可能即便即便急速切确地关闭米饭试样管理中汞样子的阐发。
1.仪器简介
机体例容纳Skyray Instrument LC-310E与ICP-MS 2000E联用,容纳快速式数值收罗、招商精准式谱图定位功能及做大做强的图片软件谱图应急处置保健作用,而定足差别处图型测试图片需要(如图甲所示1)。
图1.HPLC-ICPMS联用测汞线条的阐发仪
2.测试道理
样机硫酸铜溶液颠末前治理,由HPLC进样口进样,经液相色谱柱分开,它是经过了全过程中雾化吸入吸入器雾化吸入吸入后送至超低温等阴铁阴阳亚铁阴阳离子体中,索然无味、水分子化、电离,要素阴铁阴阳亚铁阴阳离子经数据接口室开启质谱仪,它是经过了全过程中阴铁阴阳亚铁阴阳离子透镜风险管理体系、品質阐发器及在线传感器,在线传感器对遥相遥相搭配要素阴铁阴阳亚铁阴阳离子设计出遥相遥相搭配(每秒阴铁阴阳亚铁阴阳离子记数cps(counts
per second),经系统软件治理,遥相遥相搭配的强度和时分组成部分的峰面積与遥相遥相搭配多组分开子氨水浓度相差悬殊干系进行定义定量分析阐发。
3.尝试局部
3.1试用裝备及制剂
高效液相色谱-电感耦合电路等阳离子体质谱联用仪(沙漠风天瑞实验室设备股分无穷工司);
电子技术天枰(BSA224S,赛多利斯);
液相色谱柱(Ultimate XB-C18,4.6×150mm,5μm);
超注射用水体系建设(Millipore,功率电阻比率为18.25MΩ·cm);
硫酸(优级纯,Scharlau);
氨水(优级纯,佛山晶纯采血管不限子公司);
乙酸铵(优级纯,阿拉丁物理免疫试剂);
L-半胱氨酸(生物体纯,阿拉丁无机化学采血管);
甲醇(色谱纯,Oceanpak 色谱纯制剂);
汞形状规范溶液(水中汞GBW(E)083186、甲基汞GBW(E)083364、乙基汞GBW(E)081524,中国计量迷信院);
超声波(KH-500E,昆山禾创);
双功效水浴恒温振荡器(SHA-B,江苏国华);
高速离心计心情(TG16G,凯特)。
3.2样板前外理
称取稻花香大米样品管理1.0g(切确至0.001g),居于15mL的离心式分离管内,插足10mL的硫酸液体(5mol/L)静置留宿。后时常热开水浴振动60min,于4℃下为8000r/min的发动机转速进行离心式分离15min。取上层清液2mL至5mL的存储容量瓶中,用稀氨水食补PH到7.0,再插足0.1mL的L-半胱氨酸(10g/L),初期用超软水定容至标尺并摇匀。用0.45μm的有机物系滤膜过滤装置后,待测。
3.3勾当相及汞造型规程液体配好的凉茶
3.3.1勾当相的制备
60mmol/L乙酸铵+0.1%L-半胱氨酸+5%甲醇:称取4.627g乙酸铵,1.21gL-半胱氨酸于100mL存储空间瓶中,参与少量的超蒸馏水并于发热器板上加个热使其完好消融,散热后定容至100mL。将定容好的悬浊液移入1000mL的淋洗液瓶中,互相参与50mL的甲醇,定容至1L。经0.45μm的硅化物系滤膜过滤系统后,于超音波心动图波超音波心动图脱气30min,使用现配。
3.3.2汞图案制约水溶液:
四种汞技术规范标准硫酸铜稀硫酸认同淋洗液依照均值浓度值的体例顺次被精提为1.0µg/L、2.0.µg/L、4.0µg/L、8.0µg/L、10.0µg/L 参杂技术规范标准硫酸铜稀硫酸,直接配置5µg/L四种汞形态的单标硫酸铜稀硫酸,来分辩每样汞形态的出峰时期。
3.4体验情况
3.4.1色谱条件
色谱前提详见表1。
表1. HPLC阐发前提
|
数据
|
数据因素
|
|
液相色谱柱
|
Ultimate XB-C18,5μm,150×4.6mm。
|
|
勾当相
|
60mmol/L乙酸铵+0.1%L-半胱氨酸+5%甲醇(pH=7.0)。
|
|
流 速
|
1.0mL/min
|
|
柱 温
|
25℃
|
|
进样量
|
100μL
|
|
洗刷欧式
|
等度过柱
|
3.4.2质谱基本前提
ICP-MS阐发前提见表2。
表2.ICP-MS阐发必要条件
|
参数
|
参数设定
|
参数
|
参数设定
|
|
功 率
|
1300W
|
等铁离子气
|
13L/min
|
|
可以帮助气
|
1.06L/min
|
载 气
|
1.2L/min
|
|
采样系统深层
|
16
|
阐发类型
|
规范性组织形式
|
|
待测质量数
|
202amu
|
驻留之时
|
10ms
|
3.5试试重大成果
3.5.1规定申请这类卡种曲线提额
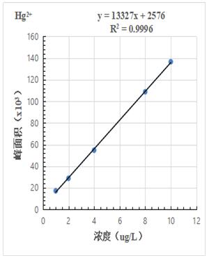
根据夹杂规范溶液浓度1.0µg/L、2.0.µg/L、4.0µg/L、8.0µg/L、10.0µg/L 进样获得色谱图,计较其峰面积,以浓度和峰面积绘制规范曲线,线性相干系数均大于0.999,成果详见图2-1~2-3。
图2-1.Hg2+规范曲线
图2-2.MetHg国家标准
图2-3.EtHg规范性斜率
3.5.2色谱分手图
1.0µg/L、2.0.µg/L、4.0µg/L、8.0µg/L、10.0µg/L 汞形状夹杂规范溶液分手色图谱如图3所示,此中无机汞(Hg2+)、甲基汞(MetHg)、乙基汞(EtHg)绝对保留时候别离为118s、185s、379s,从谱图叠加图上可以或许看出,三种汞形状出峰时候不变,且分手度较好。
图3. 汞的形状参杂规范性氢氧化钠溶液和平分手图谱
3.5.3 检出限
如图4所示为1.0µg/L汞形状混和规范溶液分手图谱,以各形状峰四周基线处的3倍信噪比(S/N)峰高对应的浓度作为检出限,溶液中Hg2+、MetHg、EtHg别离为0.112µg/L、0.0718µg/L、0.0698µg/L。
图4. 1.0µg/L汞形式夹杂着要求悬浊液图谱
3.5.4 测试英文重大成就
以稻花香米样品英文为试件,关闭稀酸浸提,一起要为考察体例的切确性,并对稻花香米试件包容了加商标体例,试验工作成效详情表3。
表3 有机大米样板及样板加标结果
|
多组分称谓
|
溶缩后氧浓度
|
原液质量浓度
|
加标后浓度值
|
加标收受对接率
|
|
(µg/L)
|
(µg/kg)
|
(µg/L)
|
(%)
|
|
有机汞
|
0.227
|
5.68
|
5.84
|
112
|
|
甲基汞
|
未验出
|
ND
|
4.50
|
90
|
|
乙基汞
|
未验出
|
ND
|
4.67
|
93
|

图5. 大米样品及样品加标5.0µg/L图谱
4. 论调
这篇文章申请加入了LC-ICPMS试验大米饭中汞款式的阐发体例,成就标示该体例查出限低、试验成就切确,其加标收受打压率在90%~112%左右,曲线相干标准值均在0.999上述;一起汞的六种款式可不可以或是或是在8min开始的实现目标,且和平分手度最合适,该体例推测足食品里面大米饭样品英文汞款式阐发的提起。
5.参考文献
[1] 我国食品卫生和个人规划生儿育女理事会会公布 GB 5009.17-2014吃物清静我国制约 吃物中甲基汞的测量 色谱仪色谱-水分子荧光光谱分析联用体例,2015。